Appearance
线性回归
线性回归就是,假设两个变量是直线关系: y = f(x)
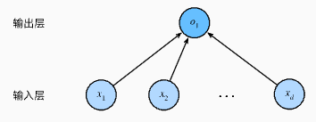
在机器学习中,线性回归 是对N维输入的加权求和,加上一个偏置项,得到输出。
- 机器学习最基础的模型
- 可以看作单层神经网络
解决问题:回归可以用于预测多少的问题。
- 比如预测房屋被售出价格,
- 或者棒球队可能获得的胜场数,
- 又或者患者住院的天数。
我们可以把线性回归想象成 “找一条最合适的直线”:
- 假设我们有一堆数据点(比如房子面积和房价的对应数据)
- 我们要找一条直线,让这条直线尽可能靠近所有的数据点
- 这样以后遇到新的房子面积,就能用这条直线预测对应的房价了
1. 数学表达
输出是输入的加权和
- 真实标签 (通常是一个向量,每个元素对应一个样本的真实值)
- 预测结果 (通常使用“尖角”符号表示的估计值)
- 训练数据 (通常是一个矩阵,每一行对应一个样本,每一列对应一个特征)
- 模型参数 (通常是一个向量,每个元素对应一个特征的权重)
- 偏置项 (一个标量,用于调整模型的输出范围)

2. 类型
- 简单线性回归:1个特征 → 1个标签(如房屋面积→房价)
- 多元线性回归:多个特征 → 1个标签(如面积+地段+房龄→房价)